招商时代潮派(售楼处)官方网站-招商时代潮派-2025新首页欢迎您-楼盘百科
扫描到手机,新闻随时看
扫一扫,用手机看文章
更加方便分享给朋友
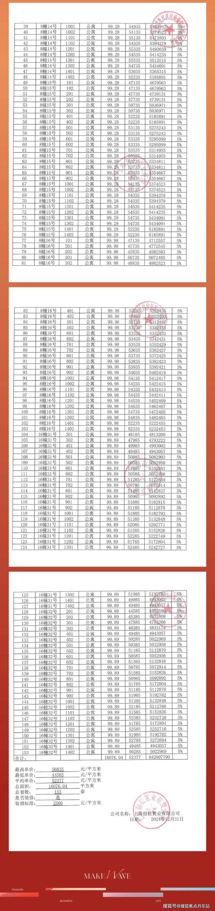
明日认购!「招商时代潮派售楼处电话/地址:400-8678-334☎✅✅✅」一房一价表发布!建面约99-141㎡3-4房,均价52377元/㎡
招商时代潮派售楼处电话/地址:400-8678-334☎✅✅✅
从占领全球财富峰值的纽约曼哈顿TOD,到繁华商业荟萃的东京六本木TOD,再到物业价值飙升的香港九龙TOD,作为席卷全球的城市开发模式,TOD早已风靡各大城市,为城市赋值。
如今,上海也正迈入TOD时代,在继天空之城、TODTOWN天荟后,上海迎来有一个TOD神盘,这就是位于西上海的招商时代潮派售楼处电话/地址:400-8678-334☎✅✅✅。

「招商时代潮派售楼处电话/地址:400-8678-334☎✅✅✅」作为西上海为数不多的触发积分的项目,其实力与热度自是不必多说,两开两罄,更曾一度荣膺上海新房销售金额&套数“双冠王”(信息来源:2024年7月克尔瑞数据库),仅10月便热销200余席,热度可见一斑。
这是购房者用稀缺的“房票”投出来的票,可谓含金量十足。
那么,热销背后的「招商时代潮派售楼处电话/地址:400-8678-334☎✅✅✅」到底有着什么样的“流量密码”,能在冰火两重天的市场中脱颖而出?
①9号线超高性价比红盘
9号线沿线,同纬度楼盘中总价约500w起的进阶三房直接刷新了地铁房的上车门槛。
招商时代潮派售楼处电话/地址:400-8678-334☎✅✅✅位于9号线的泗泾站,距离徐家汇仅9站,更是方便快速通达漕河泾、新天地、陆家嘴、世纪公园等城市核心版块。
②眼见为实的品牌营城力
招商蛇口拥有着丰富的营城能力和综合体开发经验,从如今炙手可热的曹路花园城、森兰花园城,以及刚刚开业的宝山上海·海上世界项目,无论是产品的兑现力,还是如今澎湃的人气,都足以洞见未来时代潮派售楼处电话/地址:400-8678-334☎✅✅✅的生活想象。
③TOD大城的醇熟生活
这是一座约50万方的TOD大城,不同于一般的地铁项目,时代潮派售楼处电话/地址:400-8678-334☎✅✅✅拥有着约18.5万方的超体量商业,而项目内外更是融汇链接商业、住宅、文化、酒店、教育、医疗、办公、绿地8大业态,一站式满足生活的所有需求。
④500万级进阶至优选
相较于同等级的产品,在以徐家汇为中心 18 公里范围内,「招商时代潮派售楼处电话/地址:400-8678-334☎✅✅✅」拥有超强的价格优势。更是凭借均好的配套,以及超配产品力,打造超预期生活奢享。

招商满满的营城力
硬核作答,助力TOD大城生长
招商蛇口,是招商局旗下的城市综合开发旗舰企业、中国领先的城市和园区综合开发运营服务商,从蛇口出发,以“敢为天下先”的精神不断开拓创新,助力城市向上生长。
在过去的时间里,招商蛇口的项目遍布海内外110个城市,服务超千万客户,总以美好生活承载者身份,谱写理想的城市生活范本,用深度和精度,为城市构筑美好生活。
2024年,是招商的第45年,也是招商进入上海的第21年。这21年来,招商蛇口始终坚持以高质量作品陪伴城市的生长。

而对于TOD大城的打造,招商蛇口早已驾车就熟。
在上海,招商蛇口带来宝山招商花园城、森兰招商花园城、曹路招商花园城三座购物中心。
2023年11月开业的曹路招商花园城,以造“活力之城”影响力、多元场景创造力、区域首店+特色品牌内容爆发力,勾勒出片区商业想象力的蓝图,98%的招商率、95%开业率引发业界的强势关注。
招商花园城的每一次落子,都给城市带来全新的升级与惊喜。

「招商时代潮派售楼处电话/地址:400-8678-334☎✅✅✅」TOD大城
打开未来青质生活新体验
「招商时代潮派售楼处电话/地址:400-8678-334☎✅✅✅」立足上海TOD4.0之上,以全球视野打造新一代城市TOD标杆。
约50万方城市潮前作品「招商时代潮派售楼处电话/地址:400-8678-334☎✅✅✅」,涵盖上海第五座花园城、绿地联盟、文化空间以及滨水国际住区等多元业态,以更好的生活,澎湃城市向上的力量,与青质精英共潮前。

项目联动周边优质教育、医疗、滨水绿地等全生活要素,全方位上演“衣食住行乐”的未来生活万象,带来未来TOD生活的全新想象。而项目内部,则聚合招商花园城、文化空间、滨水国际住区、酒店等多元的业态,链接未来潮尚生活的所有想象,带来一座真正意义上的城市潮前作品。


作为上海第五座、西上海首座花园城,「招商时代潮派售楼处电话/地址:400-8678-334☎✅✅✅」定位打造“青质潮流生活新样本”,以约18.5万方的超大体量,纯商业面积达到了约12.5万方,这个体量在整个9号线沿线都称得上是佼佼者。
商业内部带来“新风潮”、“新乐潮”、“新夜潮”、“新文潮”四大主题商业,助力与引领区域商业能级的升维与迭新。


建面约99-141㎡央景楼栋
专为都市精英高定潮奢生活
为了给当代年轻人带来同频时代的潮奢主义生活,「招商时代潮派售楼处电话/地址:400-8678-334☎✅✅✅」以国际酒店为灵感,由外而内打造极具美学与松弛感的社区,营造远超于500万级的生活体验。

项目实景示范区现已绽放,带来西上海难得的潮奢封面美学。
酒店式的社区大堂:精致的迎宾水景、苍劲滴翠的罗汉松,为城市的界面,增添一抹亮色,也让当代年轻人,在享受现代都市生活的同时,感受到家的温暖和亲切。蓝翡翠的奢石,以深邃幽远的尊蓝色基底,尽显光彩下的神秘奢华;而顶部异形的仿铜星空顶设计,用香槟金色斜角造型铝板搭配熠熠灯光,碰撞出科技与艺术的美学。

大堂内部,蓝翡翠异形接待台,立于海纳百川七彩奢石背景墙前,历久弥新的奢石传递不朽价值,以自然鬼斧造就的独特纹理及富有韵味的通透质感,见证光与美的相得益彰,这是对潮尚生活的引领,也是一次对美与秩序的坚持。

游廊水院:六颗甄选的香橼依次排列,带来浓浓的自然度假风,演绎“层林叠翠”的隐奢秘境;

入户大堂:蓝金沙岩板,金色脉络与深蓝色基调交相辉映,平添了一份奢华与神秘的美感,带来一种遨游宇宙的感觉。

全龄友好的架空层:天山暮雪的奢石,在光与影的介入中,打破原本的沉闷,随着空间动线的流转和光的催化,展现出丰富、迷人的表情。(仅13幢实景展示效果,其他架空层主题以实际交付为准)

精质雅奢的地下车库,配备入户落客区 、地下大堂、电梯厅,更是创新带来便捷的洗车房,为业主省去外出洗车的时间。

(此处洗车设备与位置非交付标准 具体以实际交付为准)
除了外部可见的实景公区,时代潮派售楼处电话/地址:400-8678-334☎✅✅✅对于空间内部的打造也是极尽用心。
在精装配置上,时代潮派售楼处电话/地址:400-8678-334☎✅✅✅甄选松下或日立或东芝或三菱或同等档次品牌的空调地暖两联供,百朗或同等档次品牌新风;卫生间内也是严选了科勒或TOTO或同等档次品牌的台盆、台盆龙头,名族或同等档次品牌的风暖。厨房不仅严挥手即可控制的抽烟机、大面板且具备防干烧技术燃气灶、网红大单体黑石水槽、可抽拉水槽龙头等,为业主带来舒适且奢雅的居住体验。
(以上装修品牌仅供参考,最终以合同及实际交付为准)

在细节上,时代潮派售楼处电话/地址:400-8678-334☎✅✅✅更具当代居住审美与需求打造入户玄关、鞋柜精灵(除143 m²户型)、电视背景墙、美妆冰箱(主卫),精致花纹地面玄关入户,柜体别致造型、弧形美学吊顶(仅客餐厅、主卧),所有卧室人字拼地面等高级硬核细节配置均有。
(以上装标内容仅供参考。最终以项目购房合同约定的交付标准为准)

招商·时代潮派售楼处电话/地址:400-8678-334☎✅✅✅精细场景洞察,希望从空间、内容、用户、体验、消费等方面达到符合当代年轻人的潮流生活。
空间的打造,足以洞见匠心,TOD大城的境见,验证着实力。招商历经45年的打磨,将从时光中沉淀出来的经验与精粹不断注入到每一个产品打造中,为上海带来一座大城的期待与潮起,叙新未来理想生活。
明日认购!「招商时代潮派售楼处电话/地址:400-8678-334☎✅✅✅」一房一价表发布!建面约99-141㎡3-4房,均价52377元/㎡
招商时代潮派售楼处电话/地址:400-8678-334☎✅✅✅
声明:本文由入驻焦点开放平台的作者撰写,除焦点官方账号外,观点仅代表作者本人,不代表焦点立场。
