金桥碧云澧悦售楼处电话→售楼中心电话→楼盘百科→首页网站→金桥碧云澧悦售楼处电话→售楼中心电话→楼盘百科→首页网站→24小时热线电话
扫描到手机,新闻随时看
扫一扫,用手机看文章
更加方便分享给朋友
开盘现场图

身处周浦的金桥碧云澧悦预约热线:400-9699-334📳📳【官方认证】✅✅能首开即罄,正是得益于低廉价格和高品质的产品!
俗话说得好“打铁还需自身硬”,再好的营销手段也比不过高规格的产品力,因为,消费者的眼睛是雪亮的。
首开即罄就是大伙对项目的认可,首开即罄也是开发商用心筑造”家“市场给予的回馈!
首期没买到的伙伴们注意了,项目二期热销中,不容错过!

项目总计推售843套+房源
二期建面约93-165m²3-4房正在热销中!
过会均价5.6万/㎡,总价458万起
项目二期加推7-10-11-12-13-14-15#,共394套住宅(含4套非标84㎡两房)
其中,93-99m²为装修交付,135-139-165m²为毛坯交付


项目效果图
金桥碧云澧悦预约热线:400-9699-334📳📳【官方认证】✅✅
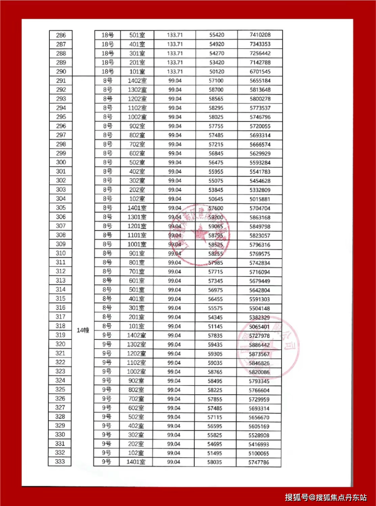
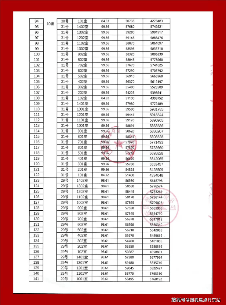
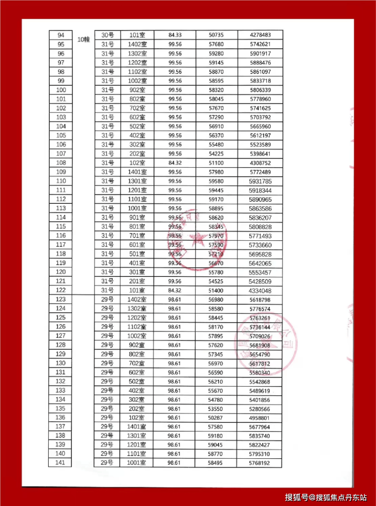
一房一价表:









户型图赏鉴
金桥碧云澧悦预约热线:400-9699-334📳📳【官方认证】✅✅


装修标准参考:
外 立 面:真石漆+少量铝板+格栅+金属包边+楼顶光伏板、没有连廊
阳台门窗:三玻两腔、未封阳台
三 大 件:中央空调、地暖、没有 新风
客 厅:岩板背景墙
入 户:玄关柜
厨 房:西门子(抽烟烟机 燃气灶 烤箱)、吊柜、底柜、操作台
卫 生 间:台盆柜、镜面柜、杜拉维特马桶、汉斯格雅花洒(具体交付标准以预售合同为准)
土拍回顾
2022年9月23日,上海第三批集中供地,上海金桥出口加工区房地产发展有限公司以底价313281万元竞得浦东新区周浦镇08单元16-02地块,楼板价31080元/㎡,房地联动价56000元/㎡!
项目四至范围:东至周园路,南至规划16-03地块,西至规划16-01地块,北至韵涛路,位于浦东新区周浦医院北侧,距离16号线周浦东站直线距离约1.4公里,步行约1.8公里!

根据出让合同显示,项目占地面积约55988.9m²,容积率为1.8,限高50米,住宅套数下限926套,需配建5%以上的保障性住房,全装修比例50%。

根据规划设计方案已公示,项目拟建15栋11-14F高层住宅、1栋17F保障房以及部分社区配套用房,可售商品房约843套、119套保障型住房。

2022年12月27日,项目正式开始动工。

从设计方案来看,项目全部为1梯2户设计,无地上停车位,全人车分流!
项目效果图

社区景观配置:
项目意欲打造“自然语序勾勒公园住区”。虽然无法将公园收入囊中,但可以将家安在自然之中,让风景融入生活。
项目精心规划“一环一轴三园”,于建筑中另辟一方天地,以绿意包裹整个小区,打造绿氧环绕的公园住区。
漫步在花园小径,呼吸新鲜氧负离子,在自然中享受阳光微醺和清新绿意,在生机盎然中安享静谧。
项目规划示意图

项目鸟瞰图

用极简主义描摹生活美学概念打造项目外观!
在上世纪的德国建筑大师密斯·凡德罗,“Less is more.”的极简主义审美驱动下,项目规划以简约流线型线条为主脉络,框体结构搭配层叠横向线条,辅以庄重典雅的淡色玻璃,从而营造隐而不喧的优雅色彩,简约的设计更能呈现丰富的内涵,细节的掌控凸显匠心的品质。
项目效果图

项目外立面效果图

生活配套
交通方面:金桥碧云澧悦预约热线:400-9699-334📳📳【官方认证】✅✅距离16号线周浦东站约1.8公里、18号线繁荣路站约2.6公里,算不上名副其实的地铁盘,可借助其他短驳交通工具,通勤到张江、前滩、陆家嘴、人民广场等核心区域还是比较方便的。
自驾出行也十分便捷,通过沪奉公路链接外环、中环、罗山高架以及申嘉湖高速等城市主干道,四通八达!
商业方面:板块内配套成熟,3km范围内有万达广场,小上海步行街,绿地缤纷广场,印象生活广场等商业中心。

教育方面:周边有浦东新区澧溪幼儿园、傅雷幼儿园、澧溪小学、周浦第二小学、周浦实验学校、澧溪中学、傅雷中学等教育配套。项目南侧中金海棠湾对口周浦实验学校(九年一贯制公办)可参考,期房不承诺学区对口。
医疗方面:项目南侧就是浦东新区周浦医院,步行可达,可以完全满足平时基本的就医需求。
生态休闲:项目1公里范围内有周浦文化公园、周浦体育中心(在建)等配套。
金桥碧云澧悦售楼处预约热线:400-9699-334📳📳【官方认证】✅✅金桥碧云澧悦营销中心预约热线:400-9699-334📳📳【官方认证】✅✅金桥碧云澧悦售楼处位置预约热线:400-9699-334📳📳【官方认证】✅✅楼盘项目全面介绍,本电话为开发商提供线上预约售楼电话,楼盘项目全面介绍(包含楼盘简介,均价,房价,现房,期房,别墅,叠墅,大平层,价格,楼盘地址,户型图,交通规划,备案价,备案名,项目配套,样板间,开盘时间,认筹时间,楼盘详情,售楼处电话,最新消息,最新详情,周边配套,一房一价,最新进展等详情咨询)楼盘详情丨价格丨更多优惠丨机不可失丨欢迎致电丨诚邀品鉴!售楼处位置丨特价房丨工抵房丨剩余房源丨户型图丨最新消息丨免责声明:将文章内容综合来源于网络、只作分享,版权归原作者所有!!如有侵权,请联系我们,我们第一时间处理如有问题欢迎来电咨询,专业一对一热情服务,让您用专业眼光去买房。如果您想了解更多楼盘详情,欢迎提前预约拨打金桥碧云澧悦售楼处预约热线:400-9699-334📳📳
须知常识
1, check the five certificates, the so-called five certificates refer to the "State-owned land use Certificate", "Building land planning Permit", "construction project planning permit", "construction project construction Permit" and "commercial housing pre-sale Permit".
1、查看五证,所谓五证就是指《国有土地使用证》、《建筑用地规划许可证》、《建筑工程规划许可证》、《建筑工程施工许可证》和《商品房预售许可证》。
2, in fact, to buy a house to choose a good reputation of developers is necessary.
2、买房其实选择口碑好的开发商很有必要。
Generally good developers are highly qualified and well-funded.
一般好的开发商资质高、资金充足。
3, evaluate the ability to buy a house, for the just need family, because of their limited economic ability, so will take a loan to buy a house.
3、评估购房能力,对于刚需族来说,由于他们的经济能力有限,所以都会采取贷款的方式买房。
The loan needs to pay a certain amount of monthly payments every month, in order to ensure that the quality of life is not affected, to avoid the risk of broken payments, Xiaobian suggests that the amount of monthly payments is best controlled within 50% of the total income.
而贷款每个月需要交一定数额的月供,为了保证生活质量不受影响,避免断供的风险,小编建议月供的数额最好控制在总收入的50%以内。
4, select the house type, select the house type, first of all to look at the direction of the house type.
4、选户型,挑选户型时,首先要看户型的朝向。
The order of orientation is: due south, southeast, east, southwest, north, west.
朝向优劣的顺序依次为:正南、东南、东、西南、北、西。
5, choose the floor, the air quality of the middle floor of the house is better than that of the lower floor, and the travel of the higher floor is more convenient, which can be said to be a compromise.
5、选楼层,中间层房屋的空气质量相较于低层更好,出行较高层更方便,可以说是折中。
6, many buyers believe that the current price is too high, so when buying a house, generally in the same area, the same lot to choose a cheap price of real estate.
6、很多购房者认为,当下房价过高,所以买房时,一般会在同等区域、同等地段选择价位便宜的楼盘。
The correct way is to learn more about the selection of housing knowledge, pay attention to the good or bad housing type, housing quality and other dry goods.
正确的做法是多学习选房知识,关注户型好坏,房屋质量等干货。
7, don't be anxious, young people should not be good when buying property, should abandon the idea that ho
金桥碧云澧悦售楼处预约热线:400-9699-334📳📳
声明:本文由入驻焦点开放平台的作者撰写,除焦点官方账号外,观点仅代表作者本人,不代表焦点立场。
