尚湾林语/2025售楼处电话-尚湾林语首页网站-尚湾林语售楼中心欢迎您|尚湾林语楼盘详情
扫描到手机,新闻随时看
扫一扫,用手机看文章
更加方便分享给朋友
总价526万起!还有独家优惠!闵行主城约180万方大城『尚湾林语售楼处电话/地址:4008767710☎✅✅✅』建面约100-149㎡3-4房加速清盘中!附官方看房报名通道
尚湾林语售楼处电话/地址:4008767710☎✅✅✅
Part1
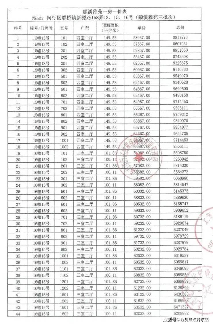
无敌性价比和高得房率户型
精装对标10万+高端住宅配置!
从楼栋分布图上就能看到三批次位置有多好。15号楼、16号楼,在整个社区的西面,西侧是生态与学校,足够开阔的楼间距,让生活私密而阳光充足,超大景观面带来空间与自然的亲密接触。
更重要的是仅82套房源,每套房源都弥足珍贵,尤其是“7090政策”退出历史舞台之后,开发商不再有户型的限制,中小套型的面积限制从90至100㎡放大到100至120㎡,新地块的大户型比例将增加,未来低总价置业三房的机会将更少,总价可控的建面约100㎡3房只会越来越稀缺。
户型大小是一方面,内在的得房率更是关键。尚湾林语售楼处电话/地址:4008767710☎✅✅✅约80-83%的得房率,让小三房成为过去,相比市面普遍75%得房率足足高出约8%,同样约百平三房举例即相差约10㎡,就相当于到手面积只有75㎡,差价在约60万左右甚至更高。
尺度奢阔堪比市场110㎡户型,同样的价格更惊喜的尺度,真正一步到位。不仅可以花更少的成本购买到更大的居住空间,买得更划算,而且各功能空间尺度奢阔,远胜过同面积的高层产品。
只计算实实在在的得房率,已经超越预期,更难得的是户型本身也足够优秀。三开间朝南,让光线照耀与微风浮动在空间中交流汇集,产生涌动心间的感官奢享。

入户进门就是独立的玄关,充裕的收纳空间,可有条不紊地归置鞋履及长外套或各类出行必备物品。

通透明亮的客餐厅空间,足够放下六人餐桌,不论是休闲、用餐还是聚会,都能为生活带来更多畅想空间,打造家庭融情生活的主场。全屋配备了日立中央空调与威能地暖系统,在每个客厅、卧室区域都有独立的开关面板,都是业主优雅生活的基础条件。

主卧可放置2米的大床,收纳空间足以在后期打造L型衣橱,还有独立卫浴,在全功能、大尺度之上,让居住更具舒适度和品质度。
卧室全飘窗设计,三间房间均可作为卧室使用,无论是老人同住还是两个小孩居住,休息、收纳、学习功能都能满足。

大家经常一眼带过的厨房,项目更是不计成本投入,采用西门子厨房三件套——洗碗机(8套)、燃气灶、抽油烟机,将先进科技融入厨房生活。还有弗兰卡大尺寸水槽,前置净水设备,操作台面是仿石材台面,美观大气又易清洁。回形灯带设计,保证整体光线明度并显美观大气。
U型厨房缩短了洗、切、烹的居家动线,可以容纳双开门冰箱,更加匹配时代青年的生活需求,让时光更加便捷从容。

至于卫浴空间,则配置唯宝一体式智能坐便器,龙头和花洒也采用高仪品牌,更配有电热毛巾架,收纳功能超足的镜柜,对生活质感的投入,从头贯穿到尾,以同等标准照顾每位家人的使用舒适度。

尚品城市生活馆 实际以交付为准
一梯两户的设计,让建面约149㎡四房两厅三卫的优秀更突出。
如今首置四房正在成为选房趋势,未来家庭成员的增加、家庭结构的变化,房子面积不够住的情况大有所在。一步到位的四房,省去未来置换的麻烦,成为了不少客户的选择。
整个南北通透,客餐厨真正的一体化,四房户型整体的舒适度和阔绰感显露无疑。无论从尺度感、稀缺性,都是市场上炙手可热的爆款产品!
让人惊喜的朝南面宽,一切或动或静的意趣空间,都能一一归位,功能分区以及生活场景都是十分多样化的。从而找到了生活的感觉,而不是活着的感觉。
餐客一体的户型设计,利用餐客厅互补的空间和视野,在功能独立的前提下实现尺度的人性化,兼具明亮与开阔,兼容多变的家庭生活场景。
南向阔绰双套房,将居住的尊崇感和私密感体现的淋漓尽致。
主卧套房更为惊艳,预留超大衣帽空间,卫浴空间,洋溢高品质生活的调性。这些两百平以上大平层才能专享的生活体验,都在尚湾林语售楼处电话/地址:4008767710☎✅✅✅降维实现。
Part2
规划教育地块仅一街之隔
周边市政配套也在快速兑现中
项目整体约180万方自然城市融合体的高兑现度为置业注入了一针强心剂。
尚湾林语售楼处电话/地址:4008767710☎✅✅✅最近有太多利好,入手正当时。
首先,教育是大家更关心的,七宝中学教育集团入驻,期待值拉满!
七宝中学教育集团目前已明确入驻18-03、18-05地块,将建设一所幼儿园及初中,预计2025年开工(来源今日闵行)。作为整个闵行甚至是整个上海的教育头牌,七宝中学教育集团的实力有目共睹,这所学校的落地对周边的教育氛围有着很大的提升。
该教育地块与尚湾林语售楼处电话/地址:4008767710☎✅✅✅仅一街之隔。
其次,项目实景示范区亮相,口袋公园等也正快速兑现中。
项目外立面、架空层、入户大堂、电梯厅、绿化、水景等已实景呈现。
比如立面上,通透的玻璃材质与精致的金属线条相融合,不仅呈现出优雅的设计风格,更在细节中透露出不凡的时尚气息。


架空层打造了儿童活动区、会客厅等功能场景,为大家提供了一个能遮风避雨的户外功能场地。

站在入户大堂门口,就有一种轻奢的尊崇感与气场扑面而来。

进入内部是灰色大面铝板搭配金色格栅,电梯厅墙面则铺设大面积岩板,吊顶也颇具设计感。


电梯轿厢几乎没有裸露在外的部件,皆精心包裹,高颜值、触感温润。

此外,项目将建设六座口袋公园,未来你想要休憩放松、悠然散步,还是亲子游玩,家门口即享,其中之一的知心谷已实景呈现。

第三,约180万方综合体有了新的名字,还明确划分了功能组团,尚湾林语售楼处电话/地址:4008767710☎✅✅✅进入新的兑现阶段。
约180万方大城整体叫尚品新境,分三大组团:

1、尚品天地
具体包含尚品天地,及中轴林荫大道和21世纪浪漫十字街区,提供购物、美食、娱乐和休闲的便捷,还规划了约3万方的活力文体中心。
其中文体中心会设置羽毛球、健身房、兵乓球、小剧场、小图书馆、儿童游乐设施等。(以实际交付为准)以后业主逛街、上学、休闲运动不用走远,在自家楼下就能形成闭环。刚才说过的教育用地就位于尚品天地。
2、尚品颛溪
拥有约86万方生态秘境、以及约15万方水岸;未来就是你家后花园。
这里不仅提供了游憩休闲功能,还包括自然研习、趣味采摘、有机食养、科普教育等生态体验。让孩子从小就能接触大自然,对其人生成长意义重大,未来在家门口就能实现。

3、尚湾林语售楼处电话/地址:4008767710☎✅✅✅
即住宅组团,被尚品天地与尚品颛溪包围。
所以,尚湾林语售楼处电话/地址:4008767710☎✅✅✅买的不仅仅是一套房子,而是约180万方缤纷生活。步行范围内商业、教育、生态、水岸、高品质住宅一应俱全,住与商业自然静谧结合。
这是一种全新的生活方式,相比以前流行的TOD概念,尚湾林语售楼处电话/地址:4008767710☎✅✅✅的生活在精致、便捷之余多了一份自然的惬意,把闵行的人居拔升了一大LEVEL。

此外,项目周边市政配套也在快速兑现中。
项目主轴金阳路已于今年5月开工,这条铺满高端资源的闵行黄金主轴目前已初具规模。同时,瓶安路(陪昆东路一银春路)、银春路(中春路一沪闵路)、竖河(西五河一银春路)等都已正式开工。
整体“三路一河”预计2025年上半年全面呈现,整座大城的面貌将迎来翻天覆地变化,也为业主的未来出行提前创造优质条件。

项目高兑现度一方面为尚湾林语售楼处电话/地址:4008767710☎✅✅✅的价值添砖加瓦;另一方面,项目本身和配套逐渐实景呈现,相当于给购房者吃下一颗定心丸,买得更安心!
项目直线距离5号线剑川路站仅约1公里,只需5站即可直达莘庄,轻松换乘1号线。这里还将拥有15号线延伸、嘉闵线,一条向上打通南北,另一条向东贯通紫竹和浦江,快速到达虹桥枢纽,让出行速度同频时代的脚步。
至于烟火气的生活,更是这里的底色。与闵行龙湖天街的亲密距离,让尚湾林语售楼处电话/地址:4008767710☎✅✅✅前一秒还沉浸在生态绿意中,后一秒就能感受商业的活色生香。
周边还汇集了颛桥万达、龙湖星悦荟、满天星生活广场等,身边就是上海的繁华。
Part3
地段上500万级买在大零号湾是优选
闵行科创人才的“集聚地”
17平方公里,4000+家硬科技成果单位,660家高新技术企业,137家估值亿元以上企业,43家估值超10亿元企业,10家上市企业,70+名院士……剑指世界级科创湾区,大零号湾交出最新成绩单。
作为上海目前唯一以“科技创新策源”定位的功能区,与张江、临港一起,成为全市首批未来产业先导区。
对于尚品新境而言,优势并不仅在于大零号湾可观的前景,地处大零号湾成片开发战略留白用地,位于大零号湾腹地—成果转化区(“T”区)北侧,可以被称为大零号湾的心脏位置。
1、大零号湾能级高,比肩张江:
从目标看,大零号湾至2035年将形成万亿市值的高新技术企业集群,成为上海科创中心重要策源地。(信息来源科创闵行)
将与漕河泾、张江科学城共建上海迈向全球影响力科创中心。

根据规划,闵行主城片区南部板块,未来将以科创产业为引擎,入驻100+五百强企业,引进80万高端人才,产业发展前景非常可观。

2、高收入、高素质群体多:
大零号湾是闵行科创人才的“集聚地”,有近10万的高校师生。未来集聚的工作人群将是相对高收入高素质的群体。居住在此的也多将是高校老师、生物医药、航空航天等高精尖人才。
3、尚湾林语售楼处电话/地址:4008767710☎✅✅✅直面大零号湾辐射:
而项目紧邻大零号湾腹地—成果转化区(“T”区),是大零号湾置业、购买力外溢的首站。项目前期置业客户中也有非常高比例的高知、高薪人群。

从更高视野看,项目西南方向还有闵行经开区,北部有航天城、莘庄工业区等,并可通过S4沪金高速、虹梅南路高架快速衔接莘庄、徐家汇等高能级板块。
尚湾林语售楼处电话/地址:4008767710☎✅✅✅其实相当于这些高收入产业区的“心脏”,能更好承载他们的居住需求。
周边的产业区多且强!这是尚湾林语售楼处电话/地址:4008767710☎✅✅✅未来价值的依托。

总价526万起!还有独家优惠!闵行主城约180万方大城『尚湾林语售楼处电话/地址:4008767710☎✅✅✅』建面约100-149㎡3-4房加速清盘中!附官方看房报名通道
尚湾林语售楼处电话/地址:4008767710☎✅✅✅
声明:本文由入驻焦点开放平台的作者撰写,除焦点官方账号外,观点仅代表作者本人,不代表焦点立场。
